文档详情

(完整word版)三角恒等变换知识点总结.doc

pu****.1
实名认证
店铺
DOC
621.54KB
约4页
文档ID:529744427
(完整word版)三角恒等变换知识点总结.doc_第1页
1/4

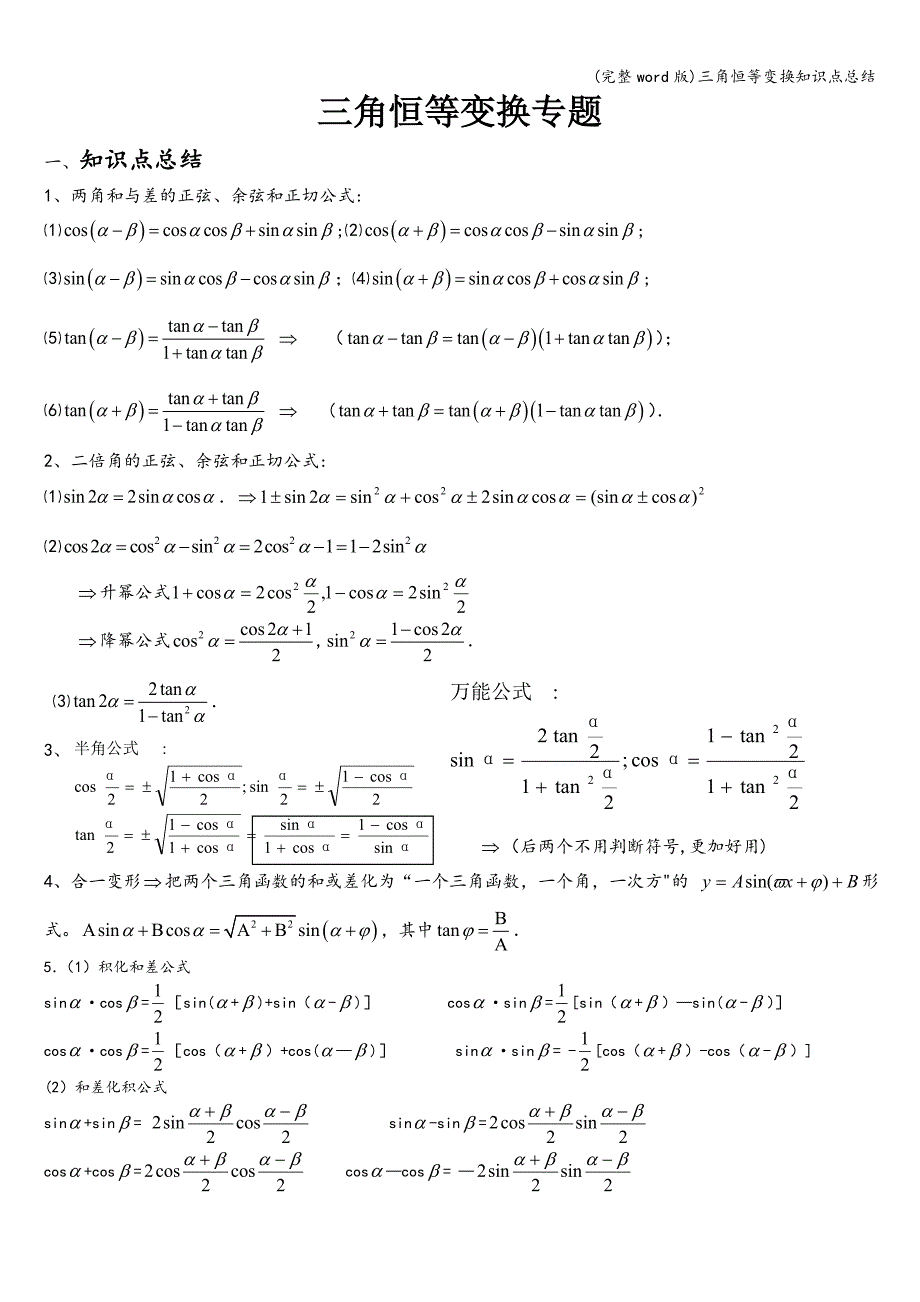
完整word版)三角恒等变换知识点总结三角恒等变换专题一、知识点总结1、两角和与差的正弦、余弦和正切公式:⑴;⑵;⑶;⑷;⑸ ();⑹ ().2、二倍角的正弦、余弦和正切公式:⑴.⑵升幂公式降幂公式,. ⑶.3、 (后两个不用判断符号,更加好用)4、合一变形把两个三角函数的和或差化为“一个三角函数,一个角,一次方"的 形式其中.5.(1)积化和差公式sin·cos=[sin(+)+sin(-)] cos·sin=[sin(+)—sin(-)]cos·cos=[cos(+)+cos(—)] sin·sin= -[cos(+)-cos(-)](2)和差化积公式sin+sin= sin-sin=cos+cos= cos—cos= —tan+ cot= tan- cot= —2cot21+cos= 1-cos=1±sin=()26。

1)升幂公式1+cos= 1-cos=1±sin=()2 1=sin2+ cos2sin=(2)降幂公式sin2 cos2sin2+ cos2=1 sin·cos=7、三角变换是运算化简的过程中运用较多的变换,提高三角变换能力,要学会创设条件,灵活运用三角公式,掌握运算,化简的方法和技能.常用的数学思想方法技巧如下:(1)角的变换:在三角化简,求值,证明中,表达式中往往出现较多的相异角,可根据角与角之间的和差,倍半,互补,互余的关系,运用角的变换,沟通条件与结论中角的差异,使问题获解,对角的变形如:①是的二倍;是的二倍;是的二倍;是的二倍; ②;问: ; ;③;④;⑤;等等(2)函数名称变换:三角变形中,常常需要变函数名称为同名函数如在三角函数中正余弦是基础,通常化切为弦,变异名为同名3)常数代换:在三角函数运算,求值,证明中,有时需要将常数转化为三角函数值,例如常数“1”的代换变形有: (4)幂的变换:降幂是三角变换时常用方法,对次数较高的三角函数式,一般采用降幂处理的方法。

常用降幂公式有: ; .降幂并非绝对,有时需要升幂,如对无理式常用升幂化为有理式,常用升幂公式有: ; ;(5)公式变形:三角公式是变换的依据,应熟练掌握三角公式的顺用,逆用及变形应用 如:; ;;;;; ; ; ; = ; = ;(其中 ;) ; ;(6)三角函数式的化简运算通常从:“角、名、形、幂"四方面入手;基本规则是:见切化弦,异角化同角,复角化单角,异名化同名,高次化低次,无理化有理,特殊值与特殊角的三角函数互化如: ; 。

; ;推广: ;推广:二、基础训练1.下列各式中,值为的是 A、  B、 C、  D、 2.已知,那么的值为____ 3.的值是______4.已知,求的值(用a表示)甲求得的结果是,乙求得的结果是,对甲、乙求得的结果的正确性你的判断是______5.已知,,那么的值是_____ 6.已知,且,,求的值 7.求值8.已知,求的值 9.已知A、B为锐角,且满足,则=_____ 10.若,化简为_____ 11.函数的单调递增区间为___________ 12.化简: 13.若方程有实数解,则的取值范围是___________14.当函数取得最大值时,的值是______ 15.如果是奇函数,则= 16.求值:________17.若且,,求的值 三、规范解题1. 已知α(,),β(0,),(α-)=,sin(+β)=,求sin(α+β)的值.2.化简sin2·sin2+cos2cos2-cos2·cos2。

下载提示
相似文档
正为您匹配相似的精品文档