文档详情

教材中各章随堂习题答案习题15(含氮)

简****9
实名认证
店铺
PDF
211.22KB
约17页
文档ID:102561288
教材中各章随堂习题答案习题15(含氮)_第1页
1/17

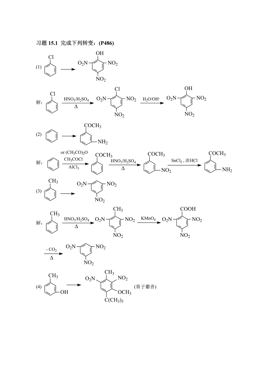
习题习题 15.1 完成下列转变:完成下列转变:(P486) (1) Cl OH NO2 NO2 O2N 解: Cl OH NO2 NO2 O2N Cl NO2 NO2 O2NH2O/OH-HNO3/H2SO4  (2) NH2 COCH3 解: NH2 COCH3 CH3COCl AlCl3 or (CH3CO)2O COCH3 NO2 COCH3 HNO3/H2SO4  SnCl2 , 浓HCl (3) NO2 NO2 O2N CH3 解: NO2 NO2 O2N CH3 CH3 NO2 NO2 O2N COOH KMnO4 HNO3/H2SO4  NO2 NO2 O2N  - CO2 (4) CH3 OH CH3 OCH3 NO2 C(CH3)3 O2N (葵子麝香) 解: CH3 OH CH3 OCH3 C(CH3)3 CH3 OCH3 (CH3)2C=CH2 H+ CH3I NaOH CH3 OCH3 NO2 C(CH3)3 O2N HNO3/H2SO4  习题习题 15.2 试将下列下列化合物按酸性大小排列:试将下列下列化合物按酸性大小排列: (1) (A) OH (B) OH NO2 (C) OH Br (D) OH CH3 (2) (A) COOH Cl (B) COOH (C) COOH Cl Cl (D) COOH CL ClCl 解:(1) 酸性:酸性:B > C > A > D (2) 酸性:酸性:D > C > A > B 习题习题 15.3 分别指出下列化合物是芳胺还是脂肪胺,并用分别指出下列化合物是芳胺还是脂肪胺,并用 1°、2°、3°表示出其属 于伯、仲、叔胺哪一类。

°、2°、3°表示出其属 于伯、仲、叔胺哪一类P488) (1) NCH3 脂环族叔胺,脂环族叔胺,3°胺°胺 (2) CHCH3 NH2 脂肪族伯胺,脂肪族伯胺,1°胺°胺 (3) NHCH3 脂肪族仲胺,脂肪族仲胺,2°胺°胺 (4) NH2 芳香族伯胺, 芳香族伯胺, 1°胺°胺 习题习题 15.4 命名下列化合物:命名下列化合物:(P489) (1) CH3(CH2)4CH2N(CH3)3 I - 碘化三甲基己基铵碘化三甲基己基铵 (2) HNNH N,N’-二二(β-萘基)对苯二胺β-萘基)对苯二胺 (3) NHCH3 CH3 3-甲基甲基-N-甲基苯胺甲基苯胺 (4) CH3CH2CH2CHN(CH3)2 CH3 2-(二甲基氨基二甲基氨基)戊烷戊烷 , 二甲基二甲基(1-甲基丁基甲基丁基)胺胺? (5) H3CNHCH3 4,4’-二甲基二苯胺二甲基二苯胺 (6) CH3CH2CH2CHCH3 N(CH3)3 OH- 氢氧化三甲基氢氧化三甲基(1-甲基丁基甲基丁基)铵铵 习题习题 15.5 完成下列转变:完成下列转变:(P493) (1) (1) NH3 ,  (2) NaOBr COOHNH2 (2) C O C O O NH2 COOH (1) NH3 ,  (2) NaOBr (3) CH2=CHCH=CH2 H2N(CH2)6NH2 解: 2NaCNCl2(1mol)  CH2=CHCH=CH2ClCH2CH=CHCH2Cl H2/Ni H2N(CH2)6NH2NCCH2CH=CHCH2CN (4) CH2 NH2H CH3 NaOBr CH2 CONH2H CH3 (5) (1) Cl2/Fe NO2 NH2 Cl Cl NH (2) H2/Ni O H2/Ni (6) CH2ClCH2CH2NH2 (1) NaCN (2) H2/Ni 习题习题 15.6 下列化合物是天然橡胶、乳胶的通用防老化剂。

试用对苯二胺与合适的 酚合成之 下列化合物是天然橡胶、乳胶的通用防老化剂试用对苯二胺与合适的 酚合成之P493) (1)NHNH 解: NH2H2N2 HO+ or Al2O3 ,  H2SO4 ,220 C o NHNH (2) NHNH 解: or Al2O3 ,  H2SO4 ,220 C o NH2H2N+ 2 HO NHNH 习题习题 15.7 下列下列(I)商品名称为抗老剂商品名称为抗老剂 3C;;(II)是比是比(I)性能更为优良的橡胶抗老化剂 试由相应的胺和醛 性能更为优良的橡胶抗老化剂 试由相应的胺和醛(或酮或酮)合成之P493) NHNHCH(CH3)2NHNHCHCH2CH(CH3)2 CH3 ( I )( II ) 解: NHNH2(CH3)2C=O H2 , Ni + ( I ) NHNHCH(CH3)2 H2 , Ni +NHNH2 CH3CCH2CH(CH3)2 O NHNHCHCH2CH(CH3)2 CH3 ( II ) 习题习题 15.8 根据化合物根据化合物 C9H13N 的红外光谱和核磁共振谱,写出该化合物的构造式的红外光谱和核磁共振谱,写出该化合物的构造式。

(P497) 解:C9H13N 的构造式为 CH2N H CH2CH3 d c a b 氮原子上的氢为活泼氢,其吸收峰经重水交换实验后消失 习题习题 15.9 把下列每组化合物的碱性由大至小排列成序:把下列每组化合物的碱性由大至小排列成序:(P499) (1) (A) NH (B) NH3 (C) NH2 (D) NH 脂肪族仲胺 无机氨 一个苯环分散孤对电子 二个苯环分散孤对电子 脂肪族仲胺 无机氨 一个苯环分散孤对电子 二个苯环分散孤对电子 解:碱性:A>B>C>D (2) (A) NH2 OCH3 (B) NH2 (C) NH2 NO2 (D) NH2 NO2 CH3O-有-有+I NO2-有-有-I NO2-有-有-I、、-C 解:碱性:A>B>C>D 习 题习 题15.10 一 种 混 合 物 中 有一 种 混 合 物 中 有 NH2CH3 ,, CCH3NH2 O 和和 OHCH3 三种物质请予以分离提纯之三种物质请予以分离提纯之P499) 解: NH2CH3 CCH3NH2 O OHCH3碱层 酸层 (1) 5%NaOH (2) 分液 有机层 有机层 (1) 5%HCl (2) 分液 OH- H+ OHCH3 NH2CH3 习题习题 15.11 C2H5ONHCCH3 O 又称非那西汀又称非那西汀(phenacetin),是解热镇痛药 物 ,是解热镇痛药 物 APC 中的一种主要成分;中的一种主要成分; C OH OHNH O 又称又称 osalmid,是一种利胆 药物; ,是一种利胆 药物; NHCCH2CH3Cl Cl O 又称敌稗,是一种除草剂。

试以氯苯为原料合成上 述化合物 又称敌稗,是一种除草剂试以氯苯为原料合成上 述化合物(其它试剂任选其它试剂任选)P500) 解:① phenacetin 的合成: Fe + HCl Cl HNO3 H2SO4 ClNO2 C2H5ONa C2H5ONO2 C2H5OH (CH3CO)2O C2H5ONHCCH3 O C2H5ONH2 ② osalmid 的合成: Fe + HCl Cl HNO3 H2SO4 Cl NO2 H2O/OH- OH NO2 OH NH2 C OH OHNH O OH COCl ③ 敌稗的合成: Cl HNO3 H2SO4 Cl NO2 Cl2/Fe  Cl NO2 Cl Cl NH2 Cl Fe+HCl NHCCH2CH3Cl Cl O (CH3CH2CO)2O 习题习题 15.12 下列异氰酸酯是除下列异氰酸酯是除 TDI 外较常用的聚氨酯原料,试由指定原料合成之外较常用的聚氨酯原料,试由指定原料合成之 (P502) (1) 由CH2合成 CH2O=C=NN=C=O(MDI) 解:CH2 HNO3 H2SO4 H2 , Ni CH2NO2O2N COCl2 CH2NH2H2N CH2O=C=NN=C=O (2) 由 合成 N=C=O NO=C= (NDI) 解: HNO3 H2SO4 COCl2H2 , Ni NO2 NO2 NH2 NH2 N=C=O NO=C= 习题习题 15.12 3,4-二氯苯基氨基甲酸甲酯又称灭草灵,是高效、低毒、低残留的稻田 除草剂之一。

试由氯苯合成之 二氯苯基氨基甲酸甲酯又称灭草灵,是高效、低毒、低残留的稻田 除草剂之一试由氯苯合成之P502) 解: Cl Cl NO2 Cl2/Fe  ClNH2 Cl HNO3 H2SO4 Fe + HCl ClNO2 Cl COCl2 CH3OH ClN=C=O Cl ClNH Cl COCH3 O 习题习题 15.14 完成下列转变:完成下列转变:(P506) (1) NH2CH3 HOOCNH2 Br 解: (CH3CO)2O KMnO4 NH2CH3NHCOCH3CH3NHCOCH3HOOC Br2 Fe NHCOCH3HOOC Br NH2HOOC Br H2O H+orOH- (2) CH3HOOCBr Br Br NH2 解: HNO3 H2SO4 HOOCCH3 KMnO4 HOOC NO2 Fe + HCl Br2/H2O HOOCBr Br Br NH2 HOOC NH2 习题习题 15.15 写出下列季铵碱受热分解时,生成的主要烯烃的结构写出下列季铵碱受热分解时,生成的主要烯烃的结构 ::(P509) (1)  [(CH3)2CHNCH2CH3]+ OH- CH3 CH3 CH2=CH2 + (CH3)2CHN(CH3)2 (2) N(CH3)2 CH3 OH-  + H2O N(CH3)2 CH2 (3) [ CH3CH2CHCH(CH3)2]+ OH- N(CH3)3  CH3CH=CHCH(CH3)2 + N(CH3)3 (4) CH3 N(CH3)3 OH-  CH2 + N(CH3)3 + H2O 习题习题15.16 完成下列转变:完成下列转变:(P509) (1) N CH3 H  (1) 过量CH3I (2) 湿Ag2O N CH3H3C H3C OH - N CH3H3C H3C + H2O (1) CH3I (2) 湿Ag2O  OH - N(CH3)3 H3C H2C CH2=CHCH=CHCH3  (2) NH2 (1) 过量CH3I (2) 湿Ag2O N(CH3)3 OH-  + N(CH3)3 + H2O 习题习题15.17 用三甲胺与合适的原料制备下列化合物:用三甲胺与合适的原料制备下列化合物:(P510) (1) [ (CH3)3NCH2CH2OH ]+ OH- (胆碱) 解:(CH3)3N O + H2O [ (CH3)3NCH2CH2OH ]OH- (2) [ (CH3)3NCH2CH2Cl ]+ Cl- (矮壮素) 解: [ (CH3)3NCH2CH2Cl ]+ Cl- (CH3)3N + ClCH2CH2Cl 1 1mol (3) [ (CH3)3NCH2CH2OCCH3 ]+ OH- O (乙酰胆碱) 解: (CH3)3N O + H2O OH-[ (CH3)3NCH2CH2OH ] (CH3CO)2O OH -[ (CH3)3NCH2CH2OCCH3 ] O (4) 氯化胆碱 [ (CH3)3NCH2CH2OH Cl- ] 解:(CH3)3N + ClCH2CH2OH[(CH3)3NCH2CH2OH] Cl-  或者: [(CH3)3NCH2CH2OH] Cl-[ (CH3)3NCH2CH2OH ]OH- HCl 习题习题15.18 由指定原料合成下列化合物:由指定原料合成下列化合物:(P512) (1) 由丙烯酸、乙二胺和环氧乙烷合成胍血生 NNCCH2CH2Br O H 。

解: O + H2NCH2CH2NH2NHN H Al2O3 -2H2O CH2=C。

下载提示
相似文档
正为您匹配相似的精品文档