文档详情

交通工程学第4章课后习题答案

简****9
实名认证
店铺
PDF
234.50KB
约7页
文档ID:107013620
交通工程学第4章课后习题答案_第1页
1/7

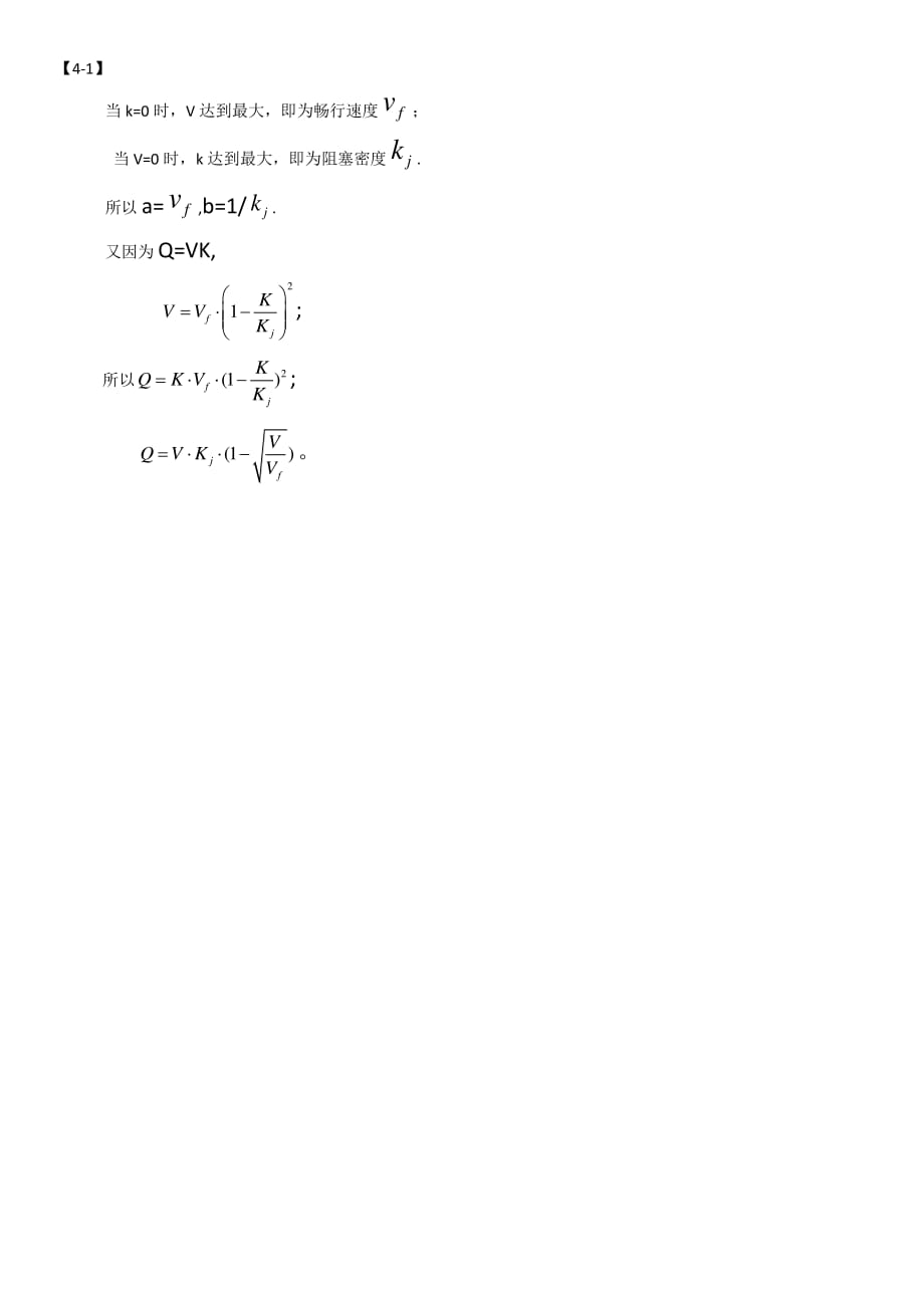
4-1】 当 k=0 时,V 达到最大,即为畅行速度f v ; 当 V=0 时,k 达到最大,即为阻塞密度 j k . 所以a=f v ,b=1/ j k . 又因为Q=VK, 2 1 f j K VV K     ; 所以 2 (1) f j K QK V K ; (1) j f V QV K V  【4-2】 根据速度与密度线性关系图,可得速度与流量关系 Q=105v(82-v)/82图像如上由速度与流量关系图可得: 当 V=41km/h 时,流量取到最大, m Q=2152.5 辆/h. 【4-3】 因为: 180 35.9ln sV k  所以:当 sV=0 时道路拥塞,k=180 辆/km 【4-4】由表格数据可得: 10 1 173 3.089 56 ii i X V m N    10 2 2 1 10 1 () 3.101 1 ii i i i V Xm S V        2 1 . 0 0 3 81 S m  从 2 S与m的比值可知用泊松分布拟合可能是合适的 因为 DF=10-2=8 所以 2 0.05(8) 15.507 2 10 2 1 58.22562.22 i i i V N N p      其中 ! im i m e p i   因为 22 0.05(8) 15.507 可见用泊松分布拟合是可接受的。

【4-5】 因为交通流属泊松分布,且 Q=1200 辆/h 所以 1 3 , 3 () t P hte   所以车头时距5ts的概率为, 5 3 (5)0.1889P he   车头时距5ts所出现的次数为: 2 (5)(6 )0 . 1 3 5 3P hP he   (5)1 2 0 00 . 1 3 5 31 6 2 . 4NP tQ次/h 【4-6】 因为 Q=720 辆/h 所以 1 5  2s 内完全没有车辆通过的概率及其出现次数,可以理解为: 车头时距2ts的概率及其出现次数 所以 2 5 (2)0.6703P te   (2 )4 8 2 . 6NP tq 【4-7】 (1) 因为车辆到达服从泊松分布,所以车头时距服从负指数分布 3 6 0 (/)Nh辆 1 10  每小时有多少个可穿空挡,即10 t hs出现的次数 所以 1 (10)360132.4NP tNe 次 ,即有 132 次 (2) 因为次要道路饱和车流的平均车头时距为 0 5ts, 1 10 10 1 5 10 336.59337 1 Qe Q e      主 次 辆 【4-8】 (1) 1 6 3 1 6 3 1 3 3 1200/ 1 3 (6)0.1353 256.9257 1 Qh P he Qe Q e              主 主 次 辆 辆 (2) 1 7 3 1 1 3 1 3 3 (6)(7)0.097 ' =1360.21361 1 P hP he Qe Q e           主 次 辆 【4-9】 (1)M/M/3(单路多通道) 3 1 1 2 51 , 126 55 , 26 14 (0) 55 89 ( )( ) 22 5 ! 3!(1) 6 (0) 3.51 (1)! 6.01 14.43 8.43 k k k N N P k P q N N N nq n d q w                        (系统稳定) (2)3//1M M(多路多通道) 1500/35 360036 1 6 5 1() 6 5 1 25 6 36 / 1 30 / n qn n ds wds                   系统稳定 辆 辆 辆 辆 三个收费站的系统: 5 420 2550 4 63 36 / 30 / n q ds ws      辆 辆 辆 辆 【4-10】 00 0 0 0 11 1 1 1 01 01 13/ ,3880/ 3880 / 13 50/ ,4200/ 84/ 1.492/ 1.69 0 1.261 2 w w Vkm h Qh Q kkm V Vkm h Qh Q kkm V Vkm h kk th Vtt Lkm              辆 辆 辆 辆 排队车辆: 10 ()540.8541Nt 辆 设:排队消散时间为 ' t,则有: 1950 ' 541 ' 3880 '0.28 '1.690.281.97 t t th Ttth     阻塞时间 【4-11】 111 1 11 50/ ,19.84/,992/ 62 0.2756 225 25 3.63 ,0.0504 496 sd Vmile h kmile Qh hs hmile     (Ⅰ) 辆辆 222 2 22 ( ) 12/ ,99.73,1196.8/ 0.3324 3.01 ,0.0100 sd Vmile h kh Qh hs hmile     Ⅱ 辆/辆 333 3 33 30/ ,49.79/,1493.8/ 0.4150 2.41 ,0.0201 sd Vmile h kmile Qh hs hmile     (Ⅲ) 辆辆 由(Ⅰ) (Ⅱ) (Ⅲ)可知 2 V与 3 V的相对速度为 18mile/h, 12 VV与的相对速度为 38mile/h 又由于各车速下车头间距已知, 可得拥挤车辆每 4.7747 秒生成一辆;当开始消散时每 2.02 秒消散一辆。

max 00 0 0 600 125.66 4.7747 125.660 20.24.7747 :439.9 1 1039.9 6 j s N s tt ts tths     辆 解得 0 0 max 439.9 218.79219 4.7747 ts t NN  辆 设占用过的总长度即为从低速车插入处至最后一辆拥挤车离散处的长度 20 60012 22.2097 4.77473600 d s Lhtmile s  设延误的时间即为通过相同的路程多花的时间 max 11 (6004.77472.02 )2.02(125.662.3637 )15.6 max NN N ii Dnnnh     。

下载提示
相似文档
正为您匹配相似的精品文档