文档详情

辅助角公式.doc

飞****9
实名认证
店铺
DOC
60.01KB
约4页
文档ID:133424185
辅助角公式.doc_第1页
1/4

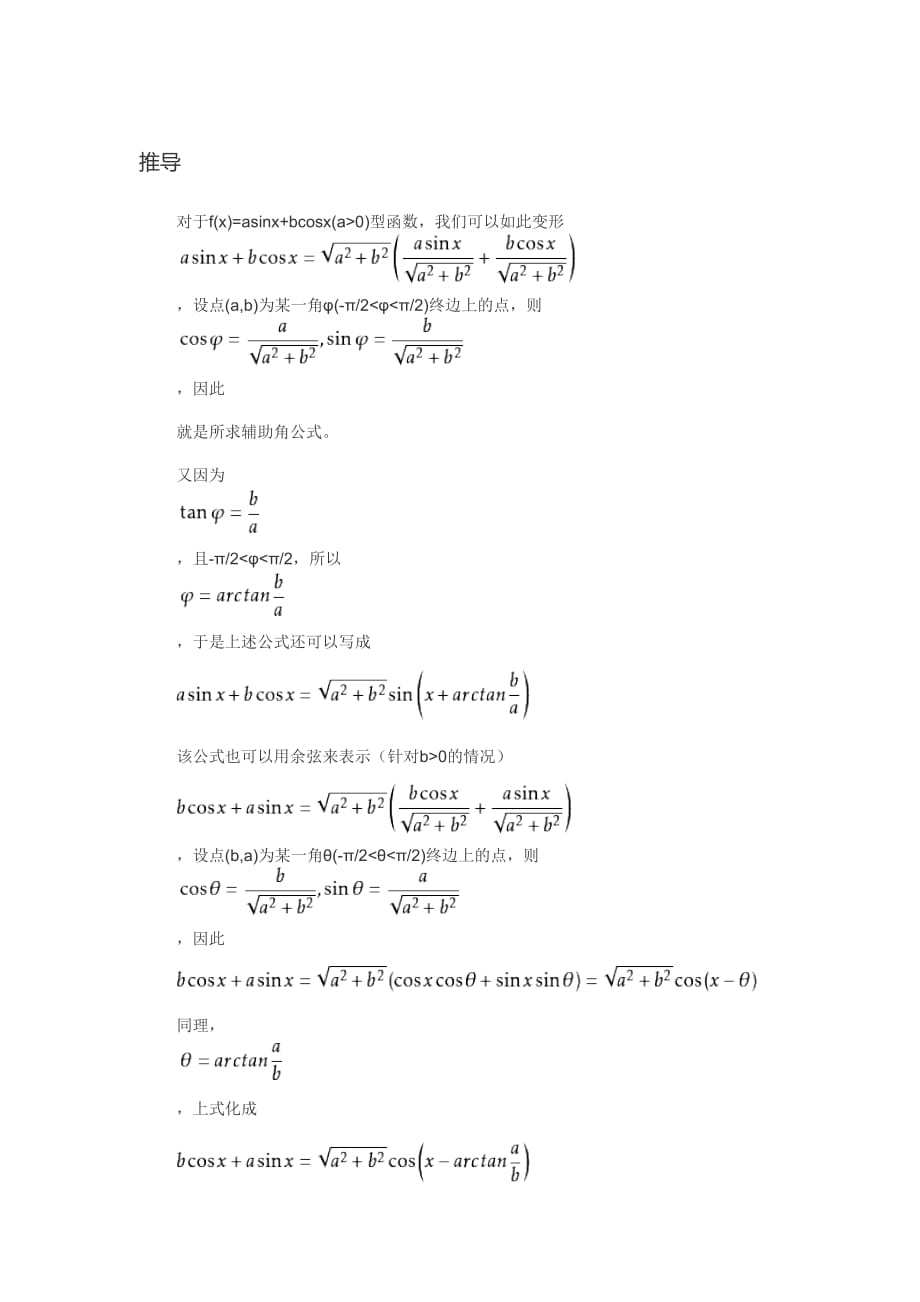
推导对于f(x)=asinx+bcosx(a>0)型函数,我们可以如此变形,设点(a,b)为某一角φ(-π/2<φ<π/2)终边上的点,则,因此就是所求辅助角公式又因为,且-π/2<φ<π/2,所以,于是上述公式还可以写成该公式也可以用余弦来表示(针对b>0的情况),设点(b,a)为某一角θ(-π/2<θ<π/2)终边上的点,则,因此同理,,上式化成若正弦和余弦的系数都是负数,不妨写成f(x)=-asinx-bcosx,则再根据诱导公式得记忆很多人在利用辅助角公式时,经常忘记反正切到底是b/a还是a/b,导致做题出错其实有一个很方便的记忆技巧,就是不管用正弦还是余弦来表示asinx+bcosx,分母的位置永远是你用来表示函数名称的系数例如用正弦来表示asinx+bcosx,则反正切就是b/a(即正弦的系数a在分母)如果用余弦来表示,那反正切就要变成a/b(余弦的系数b在分母)疑问为什么在推导辅助角公式的时候要令辅助角的取值范围为(-π/2,π/2)?其实是在分类讨论a>0或b>0的时候,已经把辅助角的终边限定在一、四象限内了,此时辅助角的范围是(2kπ-π/2,2kπ+π/2)(k是整数)。

而根据三角函数的周期性可知加上2kπ后函数值不变,况且在(-π/2,π/2)内辅助角可以利用反正切表示,使得公式更加简洁明了提出者李善兰,原名李心兰,字竟芳,号秋纫,别号壬叔出身于读书世家,其先祖可上溯至南宋末年京都汴梁(今河南开封)人李伯翼生于1811年 1月22日,逝世于1882年12月9日,浙江海宁人,是中国近代著名的数学家、天文学家、力学家和植物学家,创立了二次平方根的幂级数展开式[1](就是现在的自然数幂求和公式)他研究各种三角函数,反三角函数和对数函数的幂级数展开式,这是李善兰也是19 世纪中国数学界最重大的成就[1]在19世纪把西方近代物理学知识翻译为中文的传播工作中﹐李善兰作出了重大贡献他的译书也为中国近代物理学的发展起了启蒙作用同治七年,李善兰到北京担任同文馆天文﹑算学部长﹐执教达13年之久﹐为造就中国近代第一代科学人才作出了贡献 李善兰为近代科学在中国的传播和发展作出了开创性的贡献继梅文鼎之后,李善兰成为清代数学史上的又一杰出代表他一生翻译西方科技书籍甚多,将近代科学最主要的几门知识从天文学到植物细胞学的最新成果介绍传入中国,对促进近代科学的发展作出卓越贡献[1]公式应用例1求sinθ/(2cosθ+√5)的最大值解:设sinθ/(2cosθ+√5)=k 则sinθ-2kcosθ=√5k∴√[1+(-2k)]sin(θ+α)=√5k平方得k=sin(θ+α)/[5-4sin(θ+α)]令t=sin(θ+α) t∈[0,1]则k=t/(5-4t)=1/(5/t-4)当t=1时 有kmax=1辅助角公式可以解决一些sin与cos角之间的转化例2化简5sina-12cosa解:5sina-12cosa=13(5/13*sina-12/13*cosa)=13(cosbsina-sinbcosa)=13sin(a-b)其中,cosb=5/13,sinb=12/13例3π/6≤a≤π/4 ,求sina+2sinacosa+3cosa的最小值解:令f(a)=sina+2sinacosa+3cosa=1+sin2a+2cosa=1+sin2a+(1+cos2a)(降次公式)=2+(sin2a+cos2a)=2+(√2)sin(2a+π/4)(辅助角公式)因为7π/12≤2a+π/4≤3π/4所以f(a)min=f(3π/4)=2+(√2)sin(3π/4)=3。

下载提示
相似文档
正为您匹配相似的精品文档
相关文档