文档详情

初一上1.有理数的混合运算练习题40道(带答案)

鲁**
实名认证
店铺
DOC
261.04KB
约8页
文档ID:476289054
初一上1.有理数的混合运算练习题40道(带答案)_第1页
1/8

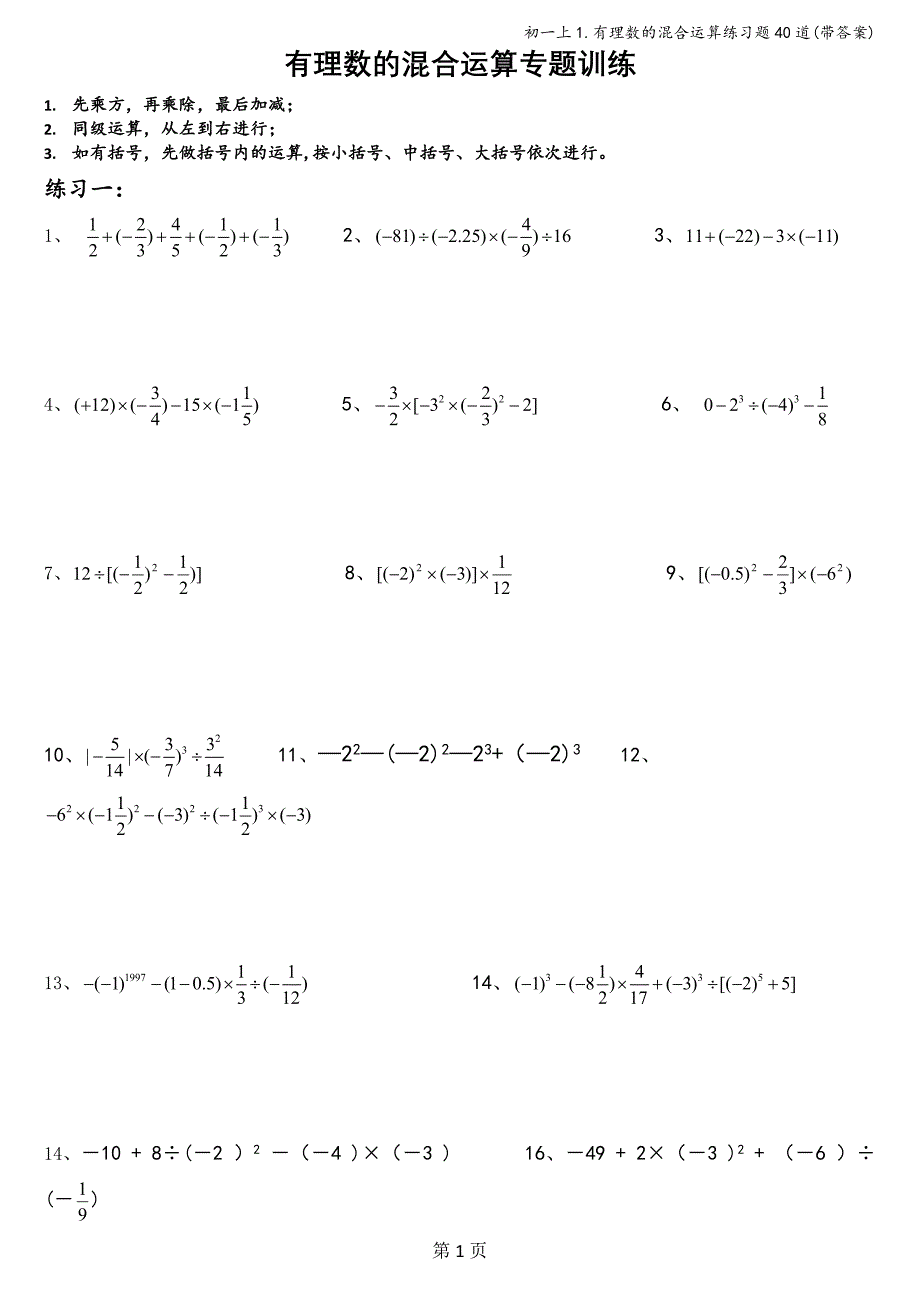
初一上1.有理数的混合运算练习题40道(带答案)有理数的混合运算专题训练1. 先乘方,再乘除,最后加减;2. 同级运算,从左到右进行;3. 如有括号,先做括号内的运算,按小括号、中括号、大括号依次进行练习一:1、 2、 3、 4、 5、 6、 7、 8、 9、 10、 11、—22—(—2)2—23+(—2)3 12、13、 14、14、 -10 + 8÷(-2 )2 -(-4 )×(-3 ) 16、-49 + 2×(-3 )2 + (-6 )÷(-)17、 -14 + ( 1-05 )××[2×(-3)2] 18、(-2)2-2×[(-)2-3×]÷.19、 20、 21、 22、 23、 24、 25、6-(-12)÷ 26、(—48)÷ 8 -(—5)÷ 27、42×÷ 0.25 28、 29、 30、(-5)×6+(-125) ÷(-5)331、 32、练习二: (1)÷; (2); (3)+÷; (4)×[ ].练习三: (1); (2)÷-÷;(3)÷; (4)÷-.练习四: (1)×; (2)12。

7÷; (3); (4)×; (5)÷; (6)÷; (7)÷; (8)×[ ]; (9)[ ]÷; (10)÷.练习五: (1)11+(-22)-3×(-11); (2); (3); (4)÷[ ]; (5)÷; (6);(7)-+2×+(-6)÷; (8)练习六: (1)÷; (2)-; (3); (4); (5); (6)-10+8÷-4×3;(7)--; (8)-(1-05)×;练习七: (1)(-8)×5-40; (2)(-12)÷(—)-(—2); (3)-20÷5×+5×(—3)÷15; (4)-3[-5+(1-0.2÷)÷(—2)]; (5)-23÷1×(—1)2÷(1)2; (6)-+()×(-2。

4)参考答案1、-1/5 2、-1 3、22 4、9 5、9 6、 07、-48 8、—1 9、—15 10、-15/343 11、-24 12、-89 13、3 14、2 15、—20 16、23 17、2 18、24 19、—28 20、9/16 21、1 22、10 23、—1/12 24、104/3 25、9 26、14 27、-31 28、—81又1/81 29、—9 30、-2931、—1/5 32、9 1、【答案】 (1)17; (2); (3)31; (4)-112、【答案】 (1)-10; (2)22; (3)-16; (4)-3、【答案】 (1)1; (2)0; (3)42; (4); (5)18; (6)0; (7)-4.64; (8); (9)8; (10)-.4、【答案】 (1)22; (2)0; (3)-17; (4)-; (5); (6)-95; (7)-85; (8)6 。

5、【答案】 (1)3; (2)1; (3)-54; (4)0; (5); (6)-20; (7)-2; (8)-6、【答案】 (1)-80; (2)56; (3)-2; (4)16; (5)-; (6)-29第6页。

下载提示
相似文档
正为您匹配相似的精品文档