文档详情

常用分布函数

ni****g
实名认证
店铺
DOC
365.50KB
约5页
文档ID:459451389
常用分布函数_第1页
1/5

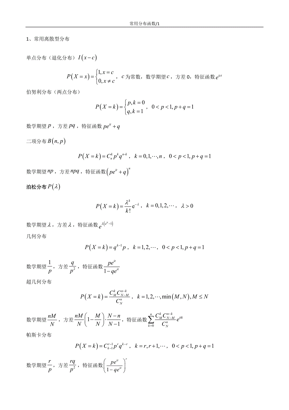
常用分布函数/31、常用离散型分布单点分布(退化分布),为常数,数学期望,方差0,特征函数伯努利分布(两点分布),数学期望,方差,特征函数二项分布,,数学期望,方差,特征函数泊松分布,,数学期望,方差,特征函数几何分布,,数学期望,方差,特征函数超几何分布,数学期望,方差,特征函数帕斯卡分布,,数学期望,方差,特征函数负二项分布:记为等待第次成功所经历的失败次数,则,,数学期望,方差,特征函数2、常用连续型分布均匀分布,数学期望,方差,特征函数指数分布,数学期望,方差,特征函数正态分布(高斯分布),,数学期望,方差,特征函数对数正态分布,数学期望,方差威布尔分布,数学期望,方差伽马(Gamma)分布,形状参数,尺度参数,数学期望,方差特征函数,阶原点距贝塔(Beta)分布,数学期望,方差特征函数,阶原点距卡方分布,即,数学期望,方差,特征函数分布,数学期望0,,方差特点:t分布为对称的单峰分布,与标准正态分布的密度函数很接近,但t分布的峰态系数小于零,即它的峰形比标准正态分布略微扁平,相应的它的两侧尾部比标准正态分布的尾部略微肥厚一些,这意味着t分布的离散性比标准正态分布大,即t分布的方差比标准正态分布的方差略大,当n趋于无穷大时,t分布收敛到标准正态分布。

分布数学期望,方差柯西(Cauchy)分布:自由度为1的t分布为柯西分布,,数学期望和方差不存在,特征函数二维正态分布数学期望,方差维正态分布,均值向量,协方差矩阵帕累托(Pareto)分布,,数学期望,方差3、欧拉积分:两类重要的含参量积分(Gamma)函数,,(Beta)函数,,性质:,,,,,(补充:欧拉公式 )4、常用分布之间的联系若相互独立,且,即,则若相互独立,且,则若,,且相互独立,则若,,且相互独立,则若,,且相互独立,则若,,且相互独立,则。

下载提示
相似文档
正为您匹配相似的精品文档