文档详情

(完整版)高中化学各类有机物之间的相互转化关系

m****
实名认证
店铺
DOC
187KB
约4页
文档ID:447351301
(完整版)高中化学各类有机物之间的相互转化关系_第1页
1/4

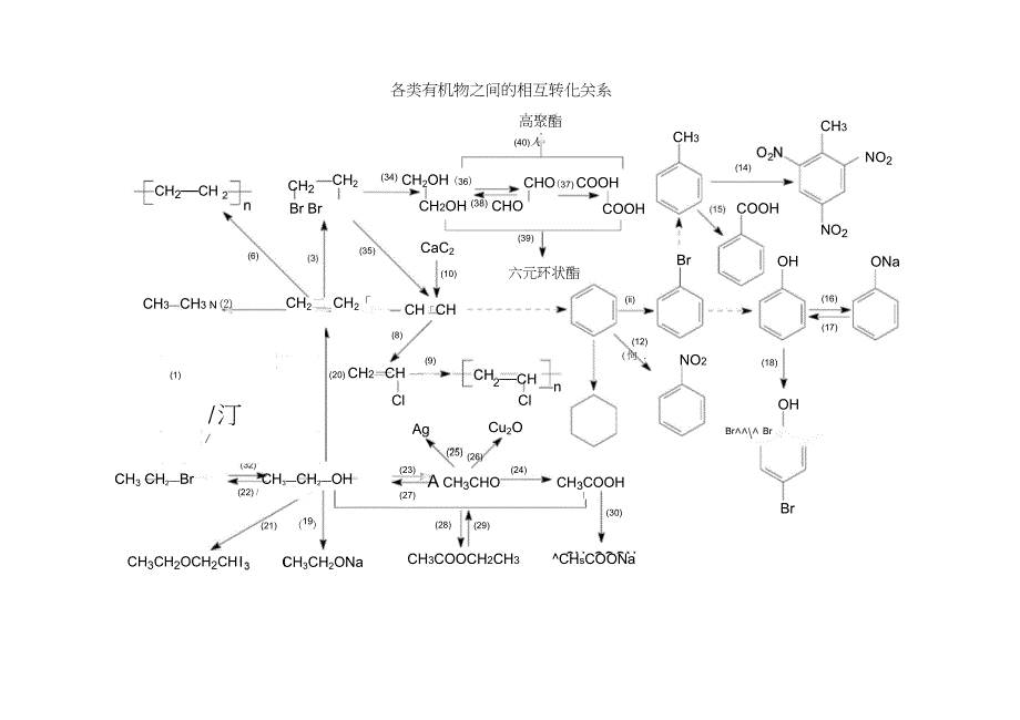
各类有机物之间的相互转化关系ch3ch2och2chCH3CH2ONaCH3COOCH2CH3 ^CHsCOONa(14)COOHCOOH(39)CaC2(35)(6)BrOHONa六元环状酯(10)(ii)(16)CH「CH(17)(8)NO2(18)ClOHAgBr(30)(28)(29)高聚酯(40)人ch2CH3Cu2Ono2no2ch2—chBr Br(12)(佝 .(9)(20) CH2—CH —(21) (19)2—chCH3 CH2—Br CH3—CH2—OH(22) /CH3CH2 (34) CH2OH (36)Br^^\^ BrCHO(37) COOHCH2OH (38) CHOCH2二 CH2「(25) (26)(23) (24)A ch3cho ch3cooh(27) I—n Cl(1)/汀/CH3—CH3 N ⑵(31)光昭CH3CH3+Br2 光昭.CH3CH2Br+HBrCH2 = CH2+H2催化剂△-CH3CH3CH2 = CH2+Br2 ” CH2BrCH2BrCH2 = CH2+HBr ・ CH3CH2BrCH2 = CH2+H2O 浓H2S°4 - CH3CH2OH催化剂‘n CH2= CH2 -^CH2—CH2十催化剂CH三 CH+H2 催化-CH2 = CH2CH 三 CH+HCl 催化剂■ CH2 = CHCln CH2=CHClCH3(14)(15)+ 3HO — NO2O2N浓 H 2SO4■△CH3 COOHI 酸性 KMnO 4 II I或酸性K2C2O7 |2 -OH +2Na - 2(16)oH+NaOHOH +Na2CO3—ONa +HCl°Na+NaHCO3°Na+H2O—ONa+H2 f催化剂-一CH2—CH_nClONa +CO2+H2OCaC2+2H2O » CH三CH f +Ca(OH)2+ Br 2催化剂》Br +HBr(18)〉+ HO - NO2 浓严4.厂:-no2 +H2O催化剂△CH31 N6Il +3H2OOH +NaCl" —OH+NaHCO3—BrJ +3HBr(19) 2CH3CH2OH+2Na - 2CH3CH2ONa+H2 f浓H2SO4 人(20) CH3CH2OH 而c»CH2 = CH2 f +H2O浓 H2SO4(21) C2H5— OH+HO — C2H5 荷c" C2H5— O — C2H5+H2O(1)(2)(3)(4)(5)(6)(7)(8)(9)(10)(11)(⑵(13)(22) CH3CH2OH+HBr CH3CH2Br+H2O(23) 2CH3CH2OH+O2—] 2CH3CHO+2H2OCH3CH2OH+CUO 仁 CH3CHO+CU+H 2O(24) 2CH3CHO+O2 催化剂》2CH3COOH(25 ) CH3CHO+2Ag(NH 3)2OH 人 CH3COONH4+2Ag J(34)(35)(36)+3NH3+H2O(37)(26)△CH3CHO+2CUQH) 2 CH3COOH+CU2O J +2H2O(27)CH3CHO+H2 催化剂「CH3CH2OH(39)(28)浓 H2SO4CH3COOH+HOC 2H5 r A J CH3COOC2H5+H2O(40)(29)稀 h2so4CH3COOC2H5+H2O ■=△匚 CH3COOH+C2H5OHCH2Br 水CH2Br+ 2NaOH-水CH2BrCH2Br+2NaOHCH2OHCH2OH +°2CH2OHCH2OH+2NaBr催化剂” CHO△CHO+O2催化剂.COOH+CH2OHCOOH - 一COOH nCOOH乙醇△ - CH 三 CH f +2NaBr+2H 2OCHO +2H2。

COOHICOOH浓H2SO4CH2OHCH2OH+ n CH2OH浓 H2SO4 3△CHO 催化剂 CH2OH(38)凶2出催化剂》CH2OHO OC CH2C CH2+2H2八O 2OIIHO-「C-C- — CHl CHzoh+(2 n — 1)H2O(30) 2CH3COOH+2Na ■ 2CH3COONa+H 2 f2CH3COOH+Na2O 片 2CH3COONa+H2OCH3COOH+NaOH ■ CH3COONa+H2O2CH3COOH+Na2CO3 尸 2CH3COONa+H2O+CO2 fCH3COOH+NaHCO 3 - CH3COONa+H2O+CO2 f(31) CH3COOC2H5+NaOH △» CHsCOONa+CzHsOH水(32) CH3CH2Br+NaOH —水—CH3CH2OH+NaBr乙醇(33) CH3CH2Br+NaOH 醇 CH2= CH2 f +NaBr+H 2O。

下载提示
相似文档
正为您匹配相似的精品文档