文档详情

高等数学公式定理最全版

枫**
实名认证
店铺
DOC
366KB
约29页
文档ID:440245764
高等数学公式定理最全版_第1页
1/29

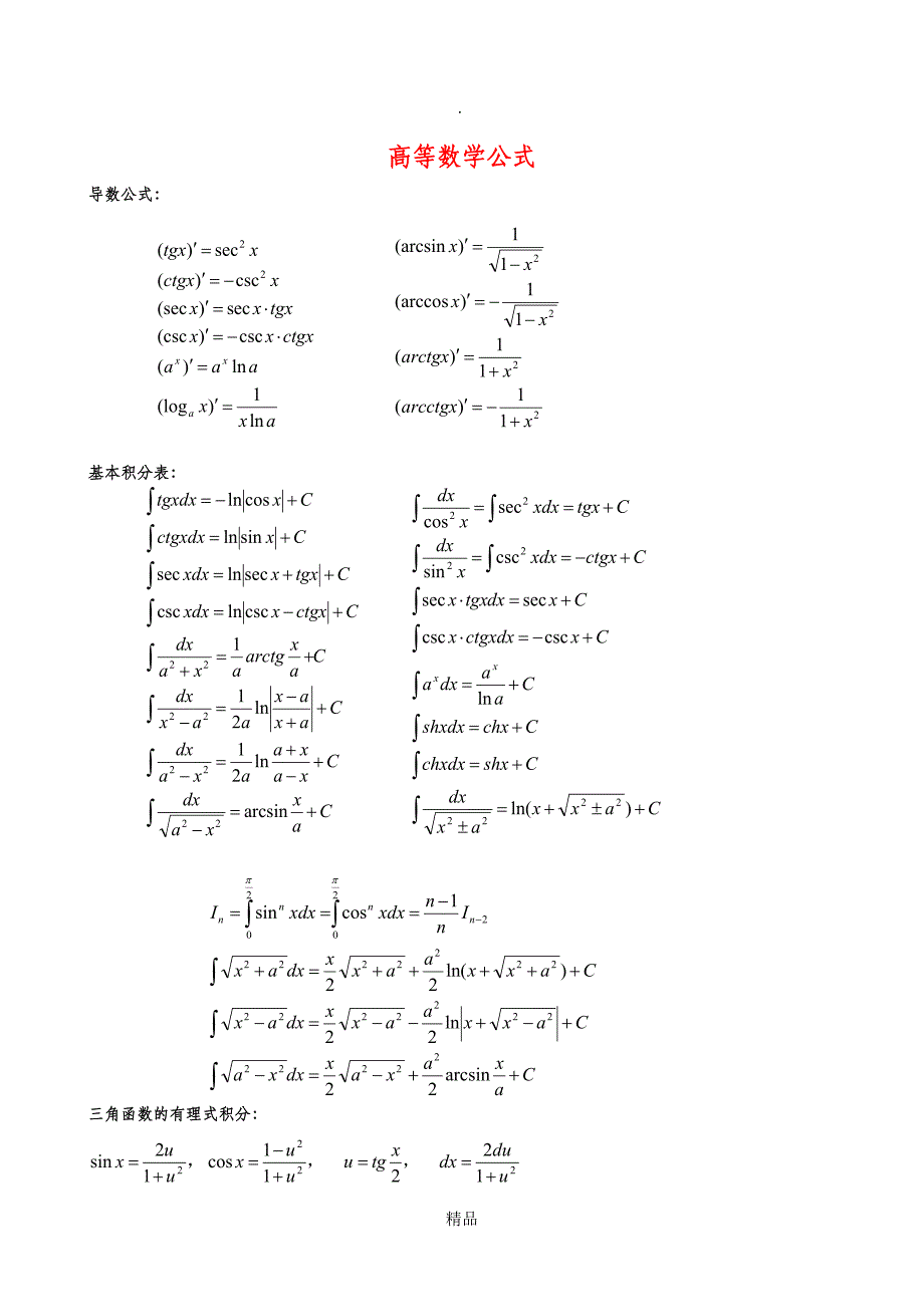
高等数学公式导数公式:基本积分表:三角函数的有理式积分:精品.一些初等函数: 两个重要极限:三角函数公式:·诱导公式: 函数角Asincostgctg-α-sinαcosα-tgα-ctgα90°-αcosαsinαctgαtgα90°+αcosα-sinα-ctgα-tgα180°-αsinα-cosα-tgα-ctgα180°+α-sinα-cosαtgαctgα270°-α-cosα-sinαctgαtgα270°+α-cosαsinα-ctgα-tgα360°-α-sinαcosα-tgα-ctgα360°+αsinαcosαtgαctgα·和差角公式: ·和差化积公式:精品.·倍角公式:·半角公式:·正弦定理: ·余弦定理: ·反三角函数性质:高阶导数公式——莱布尼兹(Leibniz)公式:中值定理与导数应用:曲率:精品.定积分的近似计算:定积分应用相关公式:空间解析几何和向量代数:精品.多元函数微分法及应用精品.微分法在几何上的应用:方向导数与梯度:多元函数的极值及其求法:精品.重积分及其应用:柱面坐标和球面坐标:曲线积分:精品.曲面积分:精品.高斯公式:精品.斯托克斯公式——曲线积分与曲面积分的关系:常数项级数:级数审敛法:精品.绝对收敛与条件收敛:幂级数:精品.函数展开成幂级数:一些函数展开成幂级数:欧拉公式:三角级数:傅立叶级数:精品.周期为的周期函数的傅立叶级数:精品.微分方程的相关概念:一阶线性微分方程:全微分方程:二阶微分方程:二阶常系数齐次线性微分方程及其解法:精品.(*)式的通解两个不相等实根两个相等实根一对共轭复根二阶常系数非齐次线性微分方程精品.高等数学定理大全第一章 函数与极限   1、函数的有界性在定义域内有f(x)≥K1则函数f(x)在定义域上有下界,K1为下界;如果有f(x)≤K2,则有上界,K2称为上界。

函数f(x)在定义域内有界的充分必要条件是在定义域内既有上界又有下界   2、数列的极限定理(极限的唯一*)数列{xn}不能同时收敛于两个不同的极限   定理(收敛数列的有界*)如果数列{xn}收敛,那么数列{xn}一定有界   如果数列{xn}无界,那么数列{xn}一定发散;但如果数列{xn}有界,却不能断定数列{xn}一定收敛,例如数列1,-1,1,-1,(-1)n+1…该数列有界但是发散,所以数列有界是数列收敛的必要条件而不是充分条件   定理(收敛数列与其子数列的关系)如果数列{xn}收敛于a,那么它的任一子数列也收敛于a.如果数列{xn}有两个子数列收敛于不同的极限,那么数列{xn}是发散的,如数列1,-1,1,-1,(-1)n+1…中子数列{x2k-1}收敛于1,{xnk}收敛于-1,{xn}却是发散的;同时一个发散的数列的子数列也有可能是收敛的   3、函数的极限函数极限的定义中0<|x-x0|表示x≠x0,所以x→x0时f(x)有没有极限与f(x)在点x0有没有定义无关   定理(极限的局部保号*)如果lim(x→x0)时f(x)=A,而且A>0(或A<0),就存在着点那么x0的某一去心邻域,当x在该邻域内时就有f(x)>0(或f(x)>0),反之也成立。

  函数f(x)当x→x0时极限存在的充分必要条件是左极限右极限各自存在并且相等,即f(x0-0)=f(x0+0),若不相等则limf(x)不存在   一般的说,如果lim(x精品.→∞)f(x)=c,则直线y=c是函数y=f(x)的图形水平渐近线如果lim(x→x0)f(x)=∞,则直线x=x0是函数y=f(x)图形的铅直渐近线   4、极限运算法则定理有限个无穷小之和也是无穷小;有界函数与无穷小的乘积是无穷小;常数与无穷小的乘积是无穷小;有限个无穷小的乘积也是无穷小;定理如果F1(x)≥F2(x),而limF1(x)=a,limF2(x)=b,那么a≥b.   5、极限存在准则两个重要极限lim(x→0)(sinx/x)=1;lim(x→∞)(1+1/x)x=1.夹逼准则如果数列{xn}、{yn}、{zn}满足下列条件:yn≤xn≤zn且limyn=a,limzn=a,那么limxn=a,对于函数该准则也成立   单调有界数列必有极限   6、函数的连续性设函数y=f(x)在点x0的某一邻域内有定义,如果函数f(x)当x→x0时的极限存在,且等于它在点x0处的函数值f(x0),即lim(x→x0)f(x)=f(x0),那么就称函数f(x)在点x0处连续。

  不连续情形:1、在点x=x0没有定义;2、虽在x=x0有定义但lim(x→x0)f(x)不存在;3、虽在x=x0有定义且lim(x→x0)f(x)存在,但lim(x→x0)f(x)≠f(x0)时则称函数在x0处不连续或间断   如果x0是函数f(x)的间断点,但左极限及右极限都存在,则称x0为函数f(x)的第一类间断点(左右极限相等者称可去间断点,不相等者称为跳跃间断点)非第一类间断点的任何间断点都称为第二类间断点(无穷间断点和震荡间断点)   定理有限个在某点连续的函数的和、积、商(分母不为0)是个在该点连续的函数   定理如果函数f(x)在区间Ix上单调增加或减少且连续,那么它的反函数x=f(y)在对应的区间Iy={y|y=f(x),x精品.∈Ix}上单调增加或减少且连续反三角函数在他们的定义域内都是连续的   定理(最大值最小值定理)在闭区间上连续的函数在该区间上一定有最大值和最小值如果函数在开区间内连续或函数在闭区间上有间断点,那么函数在该区间上就不一定有最大值和最小值   定理(有界性定理)在闭区间上连续的函数一定在该区间上有界,即m≤f(x)≤M.定理(零点定理)设函数f(x)在闭区间[a,b]上连续,且f(a)与f(b)异号(即f(a)×f(b)<0),那么在开区间(a,b)内至少有函数f(x)的一个零点,即至少有一点ξ(a<ξ

    推论在闭区间上连续的函数必取得介于最大值M与最小值m之间的任何值   第二章 导数与微分   1、导数存在的充分必要条件:函数f(x)在点x0处可导的充分必要条件是在点x0处的左极限lim(h→-0)[f(x0+h)-f(x0)]/h及右极限lim(h→+0)[f(x0+h)-f(x0)]/h都存在且相等,即左导数f-′(x0)右导数f+′(x0)存在相等  2、函数f(x)在点x0处可导=>函数在该点处连续;函数f(x)在点x0处连续≠>在该点可导即函数在某点连续是函数在该点可导的必要条件而不是充分条件   3、原函数可导则反函数也可导,且反函数的导数是原函数导数的倒数   4、函数f(x)在点x0处可微=>函数在该点处可导;函数f(x)在点x0处可微的充分必要条件是函数在该点处可导   第三章 中值定理与导数的应用 精品.  1、定理(罗尔定理):如果函数f(x)在闭区间[a,b]上连续,在开区间(a,b)内可导,且在区间端点的函数值相等,即f(a)=f(b),那么在开区间(a,b)内至少有一点ξ(a<ξ

    3、定理(柯西中值定理):如果函数f(x)及F(x)在闭区间[a,b]上连续,在开区间(a,b)内可导,且F’(x)在(a,b)内的每一点处均不为零,那么在开区间(a,b)内至少有一点ξ,使的等式[f(b)-f(a)]/[F(b)-F(a)]=f’(ξ)/F’(ξ)成立   4、洛必达法则应用条件只能用与未定型诸如0/0、∞/∞、0×∞、∞-∞、00、1∞、∞ 0等形式   5、函数单调性的判定法:设函数f(x)在闭区间[a,b]上连续,在开区间(a,b)内可导,那么:(1)如果在(a,b)内f’(x)>0,那么函数f(x)在[a,b]上单调增加;(2)如果在(a,b)内f’(x)<0,那么函数f(x)在[a,b]上单调减少   如果函数在定义区间上连续,除去有限个导数不存在的点外导数存在且连续,那么只要用方程f’(x)=0的根及f’(x)不存在的点来划分函数f(x)的定义区间,就能保证f’(x)在各个部分区间内保持固定符号,因而函数f(x)在每个部分区间上单调   6、函数的极值:如果函数f(x)在区间(a,b)内有定义,x0是(a,b)内的一个点,如果存在着点x0的一个去心邻域,对于这去心邻域内的任何点x,f(x)f(x0)均成立,就称f(x0)是函数f(x)的一个极小值。

  在函数取得极值处,曲线上的切线是水平的,但曲线上有水平曲线的地方,函数不一定取得极值,即可导函数的极值点必定是它的驻点(导数为0的点),但函数的驻点却不一定是极值点   精品.定理(函数取得极值的必要条件):设函数f(x)在x0处可导,且在x0处取得极值,那么函数在x0的导数为零,即f’(x0)=0.定理(函数取得极值的第一种充分条件)设函数f(x)在x0一个邻域内可导,且f’(x0)=0,那么:(1)如果当x取x0左侧临近的值时,f’(x)恒为正;当x去x0右侧临近的值时,f’(x)恒为负,那么函数f(x)在x0处取得极大值;(2)如果当x取x0左侧临近的值时,f’(x)恒为负;当x去x0右侧临近的值时,f’(x)恒为正,那么函数f(x)在x0处取得极小值;(3)如果当x取x0左右两侧临近的值时,f’(x)恒为正或恒为负,那么函数f(x)在x0处没有极值   定理(函数取得极值的第二种充分条件):设函数f(x)在x0处具有二阶导数且f’(x0)=0,f’’(x0)≠0那么:(1)当f’’(x0)<0时,函数f(x)在x0处取得极大值;(2)当f’’(x0)>0时,函数f(x)在x0处取得极小值;驻点有可能是极值点,不是驻点也有可能是极值点。

  7、函数的凹凸性及其判定:设f(x)在区间Ix上连续,如果对任意两点x1,x2恒有f[(x1+x2)/2]<[f(x1)+f(x1)]/2,那么称f(x)在区间Ix上图形是凹的;如果恒有f[(x1+x2)/2]>[f(x1)+f(x1)]/2,那么称f(x)在区间Ix上图形是凸的   定理:设函数f(x)在闭区间[a,b]上连续,在开区间(a,b)内具有一阶和二阶导数,那么(1)若在(a,b)内f’’(。

下载提示
相似文档
正为您匹配相似的精品文档