文档详情

初中数学公式和结论

pu****.1
实名认证
店铺
DOC
899.32KB
约20页
文档ID:458680131
初中数学公式和结论_第1页
1/20

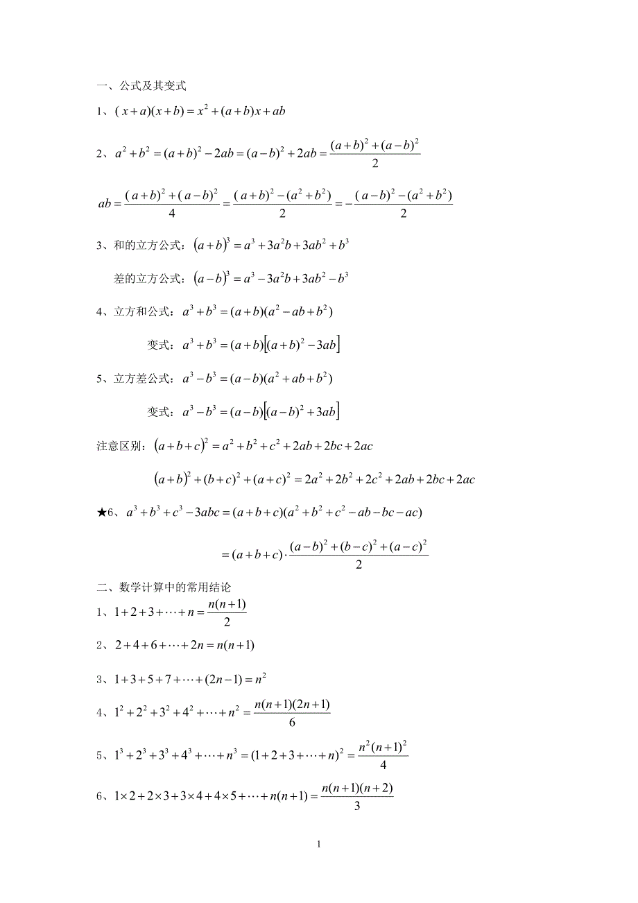
一、 公式及其变式1、2、3、 和的立方公式: 差的立方公式:4、 立方和公式: 变式:5、立方差公式: 变式:注意区别: ★6、 二、 数学计算中的常用结论1、2、3、4、5、6、7、8、三、 常见几何基本图形及结论:1、2、 分别平分,则3、 分别平分,则4、 分别平分,则注:2、3、4为内心和旁心的性质之一5、 分别平分和,则6、 在中,为斜边的中点,则:① ② ③7、正方形中,,则8、在中,.则9、 在中,,为斜边的中点,且,则10、 四边形中,,则(特别地,当四边形为圆内接四边形时有)11、 矩形及任意一点,都有12、 中,平分,则(截长、补短)13、 中,,则:14、都是等腰直角三角形,①,则为的中点. ②为的中点,则.15、为正三角形,则①;②平分16、 正中,,则.17、中,,若分别为1,2,3,则18、射影定理:①,②,③ 等积原理:19、三角形角平分线定理:平分,则有.20、,则∽21、中,平分,是上的动点,的中垂线交延长线于点,直线交于,则:∽.22、等腰直角三角形中的一种几何构造方式在中,构造:连,过作的垂线交于四、直线及坐标系知识补充1、两点间的距离公式:,则2、中点公式及推论: 线段中点,则推论1:推论2:平行四边形顶点坐标计算:3、 (斜截式方程)①的几何意义:②斜率公式:,则③直线的点斜式方程经过且斜率为的直线的方程为:④直线位置与的关系: 则:⑤点到直线的距离公式点到直线(直线的一般式方程)的距离⑥倒角公式:⑦弦长公式:直线与曲线交于两点,则(配合韦达定理使用)五、三角函数公式补充1、2、 3、 ★4、 ★5、辅助角公式:六、 余弦定理及推论: 推论:七、 三角形的面积及推论推论:八、 正弦定理九、 圆中的重要定理与结论1、 相交弦定理:2、 割线定理:3、切割线定理:4、 弦切角定理5、托勒密定理 6、三角形内切圆的切线长公式推论:直角三角形内切圆的半径公式 7、四点共圆的两种判定方式①或,则四点共圆.②(注意:对的边都是),则四点共圆.8、内接于⊙,为内心,则.9、与分别是的外心和内心,,则.十、反比例函数的性质1、2、3、直线与双曲线及坐标轴顺次交于,则.十一、 二次函数知识补充()1、 为直角三角形时,,.2、 为直角三角形时,3、 为正三角形时,.4、 当时,.十二、 定值模型1、 是上一动点,则.2、 是上一动点,则,则.3、是延长线上一动点,则,则.4、 是正内任一点,有,则.5、 如图,矩形中为上一动点,,则十三、三角形的两个重要最值点1、最小时,为的重心.(注:重心坐标是顶点坐标的平均数)2、 当最小时,为的费马点.费马点的定义、位置:①当三角形有一个内角不小于时,该钝角顶点就是三角形的费马点.②当三角形每一个内角都小于时,费马点是三角形内到三边张角相等的点.()十四、常见的最值几何模型★1、为⊙上的动点,则2、在直线外,在直线上,求?①②3、在直线外,在直线上,求?①②4、 分别是和上的动点,求周长的最小值?周长5、 分别是和上的动点,求四边形周长的最小值?周长6、分别是上的动点,求的最小值?7、为上长为的动线段,如何确定的位置使四边形周长最小?①对称得②对称得③连交于,平移得周长(也就是)梅氏定理:赛瓦定理:1。

下载提示
相似文档
正为您匹配相似的精品文档